智慧树知到《线性代数导航》章节测试答案
A.c
B.d
C.a
D.b
正确答案:b
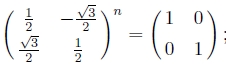
3、满足如下条件的最小正整数n=?

A.6
B.9
C.2
D.3
正确答案:6
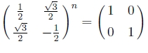
4、满足如下条件的最小正整数n=?

A.9
B.3
C.6
D.2
正确答案:2
5、


A.题干中的选项B
B.题干中的选项C
C.题干中的选项A
D.题干中的选项D
正确答案:题干中的选项C
6、


A.题干中的选项C
B.题干中的选项B
C.题干中的选项D
D.题干中的选项A
正确答案:题干中的选项A
7、

A.101
B.4950
C.100
D.0
正确答案:4950
8、

A.4950
B.0
C.-4950
D.-100
正确答案:4950
9、

则BA=?
A.1
B.是一个矩阵
C.12
D.0
正确答案:0
10、

A.1
B.sin 1
C.0
D.ln 2
正确答案:0
第四章单元测试
1、

A.题干中的选项C
B.题干中的选项A
C.题干中的选项D
D.题干中的选项B
正确答案:题干中的选项C
2、

A.题干中的选项E
B.题干中的选项B
C.题干中的选项F
D.题干中的选项C
E.题干中的选项D
F.题干中的选项A
正确答案:题干中的选项F;题干中的选项C;题干中的选项A
3、

请问题干中的a=?
A.2
B.3
C.6
D.12
E.1
正确答案:1
4、

请问题干中的b等于=?
A.6
B.12
C.1
D.3
E.2
正确答案:2
5、

Tag:智慧树线性代数导航章节测试 知到线性代数导航章节测试
时间:2023-12-14 21:47:19