智慧树知到《微波技术(黑龙江联盟)》章节测试答案
智慧树知到《微波技术(黑龙江联盟)》章节测试答案
绪论单元测试
1、微波的频率范围为:()
A.

B.

C.

D.

正确答案:

2、微波具有的性质有:()
A.似光性
B.频率高
C.能穿透电离层
D.量子特性
正确答案:似光性;频率高;能穿透电离层;量子特性
3、低频传输线及低频元器件在微波波段仍可使用。
A.对
B.错
正确答案:错
4、微波可以应用在以下几个方面:()
A.雷达
B.通信
C.科学研究
D.生物医学
正确答案:雷达;通信;科学研究;生物医学
5、不同的物质对微波能的吸收是不同的。
A.对
B.错
正确答案:对
第一章单元测试
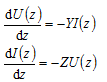
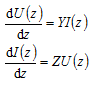
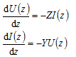
1、以下传输线方程正确的是()
A.

B.

C.

D.

正确答案:

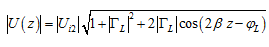
2、以波源为坐标原点的传输线方程解的形式为

A.对
B.错
正确答案:对
3、在任意负载条件下,传输线上反射系数的关系满足

A.对
B.错
正确答案:对
4、传输线的工作状态包括()
A.行波状态
B.驻波状态
C.行驻波状态
D.均匀波状态
正确答案:行波状态;驻波状态;行驻波状态
5、以下哪种情况可以产生纯驻波状态()
A.终端开路
B.终端接纯电阻
C.终端短路
D.终端接复阻抗
正确答案:终端开路;终端短路
6、某传输线系统从信号源到负载端分为AB、BC、CD三段不同传输线相接系统,若分析传输线上BC段任一点电压值

,

为D点的对应值。
A.对
B.错
正确答案:错
7、若终端负载YL=GL+jBL(BL>0),距离终端最近的电压波腹点位置范围出现在()