智慧树知到《微积分应用一点通》章节测试答案
智慧树知到《微积分应用一点通》章节测试答案
绪论单元测试
1、“微分”就是无限求和。
A.对
B.错
正确答案:错
2、微积分的基础是极限理论
A.对
B.错
正确答案:对
3、积分学的主要内容包括定积分与不定积分等。
A.对
B.错
正确答案:对
4、牛顿和莱布尼茨是微积分的奠基人。
A.对
B.错
正确答案:对
5、微分是累计的过程。
A.对
B.错
正确答案:错
第一章单元测试
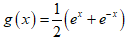
1、指出下列函数中哪个是偶函数
A.

B.

C.

D.

正确答案:

2、

A.

B.

C.

D.

正确答案:

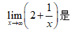
3、

A.0
B.不存在
C.1
D.-1
正确答案:1
4、

A.2
B.0
C.

D.1
正确答案:2
5、

A.

B.

C.0
D.1
正确答案:

6、

A.1
B.0
C.3
D.2
正确答案:3
7、

A.既左连续又右连续
Tag:智慧树微积分应用一点通章节测试 知到微积分应用一点通章节测试
时间:2023-12-14 20:30:45