智慧树知到《微波技术(黑龙江联盟)》章节测试答案
4、T11表示T2面接匹配负载时,T1面至T2面的电压传输系数的倒数。
A.对
B.错
正确答案:对
5、可逆二端口网络满足:

。
A.对
B.错
正确答案:对
6、长度为q的均匀传输线段的[A]矩阵为
A.

B.

C.

D.

正确答案:

7、若有n个二端口网络相串联,则串联后新二端口网络的阻抗矩阵为

。
A.对
B.错
正确答案:对
8、一个二端口网络,假设参考面往外移动,两侧向外移动的距离分别为电长度q1(转移矩阵为[A]1)和q2(转移矩阵为[A]2)。若参考面移动前二端口网络的转移矩阵为[A]0,则参考面移动后的网络转移矩阵为:
A.

B.

C.

D.

正确答案:

9、对于无耗网络,网络的插入衰减A为1。
A.对
B.错
正确答案:错
10、存在完全匹配的三端口网络。
A.对
B.错
正确答案:错
第四章单元测试
1、电抗元件中电感器是指能够集中磁场和存储磁能的元件,而电容器是指能够集中电场和存储电能的元件。
A.对
B.错
正确答案:对
2、多节阶梯阻抗变换器由于参与抵消作用的反射波数量增多,在½G½m相同的条件下,使工作频带增宽。
A.对
B.错
正确答案:对
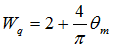
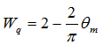
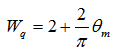
3、对于单节l/4阻抗变换器,分数带宽Wq与qm的关系
A.

B.

C.

D.

正确答案:

Tag:智慧树离散数学章节测试 知到离散数学章节测试
时间:2023-12-14 20:23:20