智慧树知到《现代控制理论》章节测试答案
,则它的逆矩阵为

为()。
A.

B.

C.

D.

正确答案:

10、已知系统状态转移矩阵为

,则A矩阵为()。
A.

B.

C.

D.

正确答案:

第三章单元测试
1、格拉姆矩阵能控性判据因计算简单,适用于高维系统的能控性判别。
A.对
B.错
正确答案:错
2、所有具有对角规范形描述形式的系统都可用对角规范形能控性判据判别其能控性。
A.对
B.错
正确答案:错
3、能控性和能观测性是从控制和观测角度表征系统机构的两个基本特性。
A.对
B.错
正确答案:对
4、能控性秩判据是基于系数矩阵A和C判断系统能观测性的一类判据。
A.对
B.错
正确答案:错
5、构造多输入多输出系统能控规范形和能观测规范形,都需要面临一个共性的问题,即找出能控性判别矩阵中n个线性无关列或能观测判别矩阵中n个线性无关行。
A.对
B.错
正确答案:对
6、对于下列状态空间描述及其所描述的系统说法正确的是()。

A.该状态空间描述为约当规范形描述
B.该状态空间描述为对角规范形描述
C.该状态空间描述为能控规范形描述
D.描述的系统为完全能控的系统
正确答案:该状态空间描述为约当规范形描述;描述的系统为完全能控的系统
7、关于下列系统描述正确的为()。

A.该系统完全能观测
B.该系统不完全能观测
C.该系统的不完全能观测但完全能控
D.该系统的能控性无法判断
正确答案:该系统完全能观测
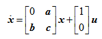
8、能使下列系统完全能控的待定参数a,b,c的正确取值范围是()。
