智慧树知到《现代控制理论》章节测试答案
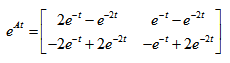
C.若两个子系统均为既能控又能观,则串联组合系统一定也是既能控又能观的
D.串联组合后系统的状态方程为

正确答案:串联组合后系统的状态方程为

第二章单元测试
1、一般线性系统状态方程的解由两部分组成,第一部分反映系统初态的影响,第二部分反映系统输入对状态的影响。
A.对
B.错
正确答案:对
2、零初态响应指系统初始状态为零时,由系统输入单独作用所引起的运动。
A.对
B.错
正确答案:对
3、零输入响应代表系统状态的自由运动,受外部输入变量的影响。
A.对
B.错
正确答案:错
4、线性定常系统和线性时变系统的状态转移矩阵均为系统的矩阵指数函数。
A.对
B.错
正确答案:错
5、系统的状态转移矩阵由系统矩阵A唯一地确定。
A.对
B.错
正确答案:对
6、当且仅当状态方程的解为存在和唯一,对系统的运动分析才有意义。
A.对
B.错
正确答案:对
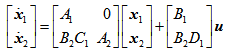
7、已知系统的初始状态和矩阵指数函数如下所示,

,

则其初始状态激励的响应为 ( )。
A.

B.

C.

D.

正确答案:

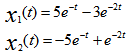
8、已知系统的初始状态和矩阵指数函数如下所示

,

则输入u(t)=1激励的响应为( )。
A.

B.

C.

D.

正确答案:

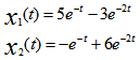
9、已知系统的状态转移矩阵

Tag:智慧树现代控制理论章节测试 知到现代控制理论章节测试
时间:2023-12-14 14:28:07