智慧树知到《数学物理方程》章节测试答案
智慧树知到《数学物理方程》章节测试答案
绪论单元测试
1、法国数学家、物理学家达朗贝尔首先将将弦振动问题归结为波动方程。
A.正确
B.错误
正确答案:正确
2、欧拉首先提出位势方程,后来因为拉普拉斯(Laplace)的出色工作,称为Laplace方程。这类方程描述的是一种稳恒状态方程。
A.正确
B.错误
正确答案:正确
3、数学物理方程是纯粹数学的许多分支和自然科学各部门之间的一个桥梁。
A.正确
B.错误
正确答案:正确
4、Fourier对介质热流动问题颇感兴趣,建立了热传导方程,并首次提出了分离变量法。
A.正确
B.错误
正确答案:正确
5、本课程主要内容包括三大经典方程:波动方程、热传导方程、位势方程。四种求解方法:分离变量法、行波法、积分变换法、格林函数法。两类特殊函数:贝赛尔函数、勒让德函数。同时要特别注重方法中蕴含的数学思想。
A.正确
B.错误
正确答案:正确
第一章单元测试
1、偏微分方程与()结合在一起,称为初值问题。
A.定解条件
B.初始条件
C.边界条件
D.初始条件与边界条件
正确答案:初始条件
2、

A.①
B.②
C.③
D.④
正确答案:②
3、柯西问题指的是()
A.微分方程和边界条件
B.微分方程和初始条件
C.微分方程和初始边界条件
D.以上都不正确
正确答案:微分方程和初始条件
4、边值问题指的是()
A.微分方程和边界条件
B.微分方程和初始条件
C.微分方程和初始边界条件
D.以上都不正确
正确答案:微分方程和边界条件
5、定解问题的适定性指定解问题的解具有()
A.存在性和唯一性
B.唯一性和稳定性
C.存在性和稳定性
D.存在性、唯一性和稳定性
正确答案:存在性、唯一性和稳定性
6、

A.①
B.②
C.③
D.④
正确答案:①
7、

A.①
B.②
C.③
D.④
正确答案:②
8、

A.①
B.②
C.③
D.④
正确答案:④
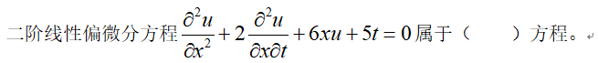
9、

A.双曲型
B.椭圆型
C.抛物型
D.混合型
正确答案:双曲型
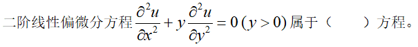
10、

A.双曲型
B.椭圆型
C.抛物型
D.混合型
正确答案:椭圆型
第二章单元测试
1、
