智慧树知到《数学物理方程》章节测试答案
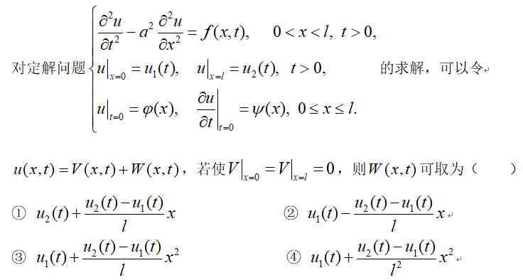
A.①
B.②
C.③
D.④
正确答案:②
2、

A.①
B.②
C.③
D.④
正确答案:④
3、

A.①
B.②
C.③
D.④
正确答案:②
4、

A.①
B.②
C.③
D.④
正确答案:①
5、

A.①
B.②
C.③
D.④
正确答案:②
6、

A.①
B.②
C.③
D.④
正确答案:②;③
7、

A.①
B.②
C.③
D.④
正确答案:③
8、

。
A.正确
B.错误
正确答案:正确
9、

A.①
B.②
C.③
D.④
正确答案:④
10、

A.①
B.②
C.③
D.④
正确答案:③;④
第三章单元测试
1、

A.①
B.②
C.③
D.④
正确答案:①
2、

A.①
B.②
C.③
D.④
正确答案:④
3、

A.①
B.②
C.③
D.④
正确答案:①
4、

A.①
B.②
C.③
D.④
正确答案:④
5、

A.①
B.②
C.③
D.④
正确答案:②
6、

A.①
B.②
C.③
D.④
正确答案:①
7、

A.①
B.②
C.③
D.④
正确答案:①
8、

Tag:智慧树数学物理方程章节测试 知到数学物理方程章节测试
时间:2023-12-09 20:43:28