智慧树知到《高等数学(辽宁联盟)》章节测试答案
B.

C.

D.

正确答案:

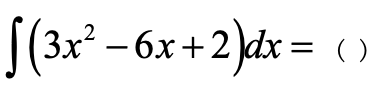
3、

A.

B.

C.

D.

正确答案:

4、

A.

B.

C.

D.

正确答案:

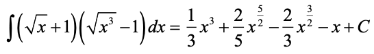
5、

A.

B.

C.

D.

正确答案:

6、

。
A.正确
B.错误
正确答案:正确
7、

。
A.正确
B.错误
正确答案:正确
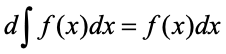
8、不定积分基本性质

是否正确。
A.正确
B.错误
正确答案:正确
9、

Tag:智慧树高等数学章节测试 知到高等数学章节测试
时间:2023-12-03 22:46:22