智慧树知到《高等数学(辽宁联盟)》章节测试答案

。
A.正确
B.错误
正确答案:错误
9、

。
A.正确
B.错误
正确答案:正确
10、

。
A.正确
B.错误
正确答案:正确
第三章单元测试
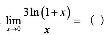
1、

A.1
B.3
C.0
D.2
正确答案:3
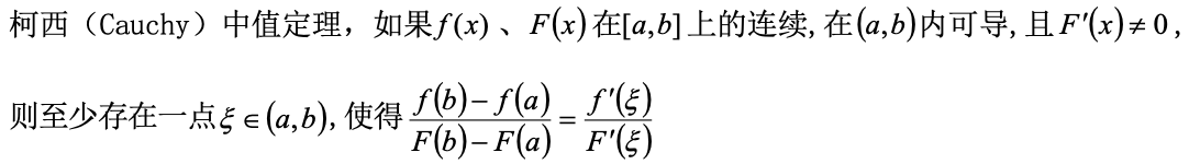
2、

A.3
B.1
C.2
D.0
正确答案:2
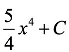
3、

A.3
B.2
C.1
D.0
正确答案:2
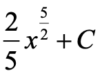
4、

A.0
B.2
C.3
D.1
正确答案:1
5、

A.3
B.0
C.1
D.2
正确答案:1
6、

。
A.正确
B.错误
正确答案:正确
7、

。
A.正确
B.错误
正确答案:正确
8、

。
A.正确
B.错误
正确答案:正确
9、

。
A.正确
B.错误
正确答案:正确
10、

。
A.正确
B.错误
正确答案:正确
第四章单元测试
1、

A.

B.

C.

D.

正确答案:

2、

A.

Tag:智慧树高等数学章节测试 知到高等数学章节测试
时间:2023-12-03 22:46:22