智慧树知到《大学物理典型题解析(下)(黑龙江联盟)》章节测试答案
4、如图所示,圆形截面区域内存在着与截面相垂直的磁场,磁感应强度随时间变化。位于圆形区域直径上的导体棒

5、如图所示,M、N;为水平面内两根平行金属导轨,ab与cd为垂直于导轨并可在其上自由滑动的两根直裸导线。外磁场垂直水平面向上,当外力使ab向右平移时,cd()。

A.不动
B.转动
C.向左移动
D.向右移动
正确答案:向右移动
6、一无限长的直导线和一正方形的线圈如图所示放置(导线与线圈接触处绝缘).线圈与导线间的互感系数为()。

7、有两个长直密绕螺线管,长度及线圈匝数均相同,半径分别为

8、两根很长的平行直导线,其间距离 d 、与电源组成回路如图。已知导线上的电流为 l ,两根导线的横截面的半径均为

第三章单元测试
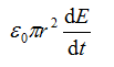
1、一平板空气电容器两个极板都是半径为r的圆导体片,在充电时,两个极板电场强度随时间的变化率为,若略去边缘效应,则两极板间的位移电流()
A.

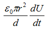
2、一平板空气电容器两个极板都是半径为r的圆导体片,两极板间的距离为d,在充电时,两个极板所加的电压随时间的变化率为,若略去边缘效应,则两极板间的位移电流为()
A.

3、一带电体可作为点电荷处理的条件是()。
A.电荷必须呈球形分布
B.带电体的线度很小
C.带电体的线度与其它有关长度相比可忽略不计
D.电量很小
正确答案:带电体的线度与其它有关长度相比可忽略不计
4、在静电场中,有关静电场的电场强度与电势之间的关系,说法正确的是()。
A.场强大的地方电势一定高
B.场强相等的各点电势一定相等
C.场强为零的点电势不一定为零
D.场强为零的点电势必定为零
正确答案:场强为零的点电势不一定为零
5、对位移电流,下列说法,正确的是()。
A.位移电流是由变化电场产生的
B.位移电流是由线性变化磁场产生的
C.位移电流的热效应服从焦耳---楞次定律