智慧树知到《大学物理(海南联盟)》章节测试答案
智慧树知到《大学物理(海南联盟)》章节测试答案
第一章单元测试
1、ZHDY1-1*如图是一种测定子弹速度的方法,子弹水平地射入一端固定在弹簧地地木块内,由弹簧的压缩距离求出子弹的速度。已知子弹的质量m是0.02kg,木块的质量M是9.98kg,弹簧的劲度系数是248N/m,子弹射入木块后,弹簧压缩10cm,设木块与水平间的动摩擦系数为0.2,则子弹的速度()

A.319m/s
B.无合适选项
C.400m/s
D.420m/s
正确答案:400m/s
2、ZHDY1-2*一质量为M的小球,由顶端沿质量为49M的圆弧形木槽自静止下滑,圆弧形槽的半径为R(如图所示)。忽略所有摩擦, ;重力加速度为g,小球刚离开圆弧形槽时速度为()

A.(1)
B.(4)
C.(2)
D.(3)
正确答案:(3)
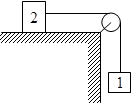
3、ZHDY1-3* 如图所示,物体1和2的质量分别为m=1.5kg;与M=0.5kg,滑轮的转动惯量为J=0.02kg·m^2,半径为r=0.5m,物体2与桌面间的摩擦系数为μ=0.2。则物体2的加速度和绳子对物体2的拉力分别为()

A.0.70g;0.35g
B.无合适选项
C.0.75g,0.375g
D.0.14g,0.07g
正确答案:无合适选项
4、ZHDY1-4*长l=0.40m、质量M=1.00kg的匀质木棒,可绕水平轴O在竖直平面内转动,开始时棒自然竖直悬垂,现有质量m=8g的子弹以v=400m/s的速率从A点射入棒中,A点与O点的距离为0.75l,如图所示。则棒开始运动时的角速度为()

A.4.45ran/s
B.无合适选项
C.8.9ran/s
D.17.8rad/s
正确答案:17.8rad/s
5、ZHDY1-5* 一质点沿x轴运动,坐标与时间的变化关系为x=4+4t-2t^3(SI制),则在最初2s内的平均速度和2s末的瞬时速度为()
A.无合适选项
B.-2m/s,-20m/s
C.-2m/s。-2m/s
D.-4m/s,-20m/s
正确答案:-4m/s,-20m/s
第二章单元测试
1、ZHDY2-1*圆形水管的某一点A,水的流速为2.0米/秒,压强为3.0×10^5Pa。沿水管的另一点B,比A点低10米,A点水管半径是B点水管半径的2倍,忽略水的粘滞力,则B点的水流速度和压强为()(已知重力加速度g=9.8m/s^2,水密度ρ=1000kg/m^3)
A.8m/s;466kPa
B.4m/s;392kPa
C.8m/s;368kPa
D.无合适选项
正确答案:8m/s;368kPa
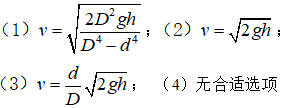
2、ZHDY2-2*在一圆柱容器底部有一圆孔,孔的直径为d 圆柱体容器直径D(D>;>;d),容器中水的高度随着水的流出而下降, 当水的高度为h时,底部孔处水的流速约为()

A.(2)
B.(3)
C.(1)
D.(4)
正确答案:(2)