智慧树知到《线性代数及其应用(天津大学)》章节测试答案
正确答案:(2)
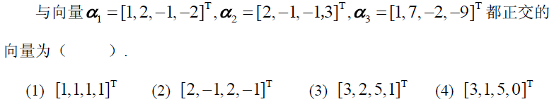
10、

A.(1)
B.(2)
C.(3)
D.(4)
正确答案:(1);(2)
第四章单元测试
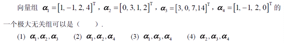
1、

A.(1)
B.(2)
C.(3)
D.(4)
正确答案:(2);(3)
2、

A.(1)
B.(2)
C.(3)
D.(4)
正确答案:(1);(2)
3、

A.(1)
B.(2)
C.(3)
D.(4)
正确答案:(2);(4)
4、

A.对
B.错
正确答案:错
5、

A.(1)
B.(2)
C.(3)
D.(4)
正确答案:(2);(3);(4)
6、

A.(1)
B.(2)
C.(3)
D.(4)
正确答案:(3)
7、

A.对
B.错
正确答案:对
8、

A.(1)
B.(2)
C.(3)
D.(4)
正确答案:(1);(4)
9、

A.(1)
B.(2)
C.(3)
D.(4)
正确答案:(1);(4)
10、

A.(1)
B.(2)
C.(3)
D.(4)
正确答案:(3)
第五章单元测试
1、

A.

B.

C.

D.

正确答案:

;

2、

Tag:智慧树线性代数及其应用章节测试 知到线性代数及其应用章节测试
时间:2023-12-15 10:07:59