智慧树知到《线性代数及其应用(天津大学)》章节测试答案
智慧树知到《线性代数及其应用(天津大学)》章节测试答案
第一章单元测试
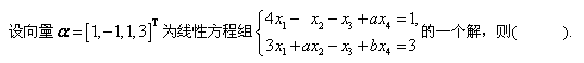
1、

A.

B.

C.

D.

正确答案:

;

;

2、

A.对
B.错
正确答案:对
3、

A.

B.

C.

D.

正确答案:

4、

A.

B.

C.

D.

正确答案:

5、

A.

B.

C.

D.

正确答案:

Tag:智慧树线性代数及其应用章节测试 知到线性代数及其应用章节测试
时间:2023-12-15 10:07:59