智慧树知到《高等数学应用案例锦集(黑龙江联盟)》章节测试答案
C.

D.

正确答案:

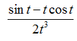
3、

A.-2
B.1
C.-1
D.2
正确答案:-2
4、

A.

B.1
C.-1
D.

正确答案:

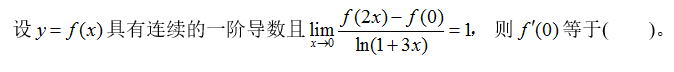
5、

A.

B.

C.

D.

正确答案:

6、

A.2
B.1
C.0
D.3
正确答案:2
7、

A.

B.不可导
C.

D.

正确答案:

8、

A.

B.3
C.不存在
D.4
正确答案:

9、

A.1
B.

C.

D.0
正确答案:
Tag:智慧树高等数学应用案例锦集章节测试 知到高等数学应用案例锦集章节测试
时间:2023-12-14 15:48:36