智慧树知到《高等数学(上)(山东联盟-青岛科技大学版)》章节测试答案
C.

D.

正确答案:

4、函数连续一定可导
A.对
B.错
正确答案:错
5、函数可导一定连续
A.对
B.错
正确答案:对
6、

A.错
B.对
正确答案:对
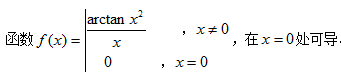
7、

A.对
B.错
正确答案:对
8、

A.错
B.对
正确答案:错
9、

A.对
B.错
正确答案:对
10、

A.

B.

C.

D.

正确答案:

11、

A.

B.

C.

D.

正确答案:

第三章单元测试
1、

A.

B.

C.

D.

正确答案:

Tag:智慧树高等数学章节测试 知到高等数学章节测试
时间:2023-12-14 15:30:10