智慧树知到《美妙的高等数学(下)》章节测试答案
A.

B.

C.

D.

正确答案:

第二章单元测试
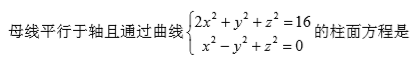
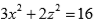
1、

A.

B.

C.

D.

正确答案:

2、

A.

B.

C.

D.

正确答案:

3、

A.

B.

C.

D.

正确答案:

4、

A.

B.

C.

D.

Tag:智慧树美妙的高等数学章节测试 知到美妙的高等数学章节测试
时间:2023-12-14 10:51:56