智慧树知到《数学大观》章节测试答案
4、用如下哪个多项式代替sinx来计算锐角x的正弦, 误差最小
A.x+x^2/2+x^3/3
B.x-x^3/6
C.2x
D.x
正确答案:x-x^3/6
5、如下那句话是错误的:
A.光从空气中进入水中发生折射, 最节省时间
B.光在水中沿直线前进, 路程最短
C.光在空气中沿直线前进, 路程最短
D.光从空气中进入水中发生折射, 路程仍然最短
正确答案:光从空气中进入水中发生折射, 路程仍然最短
第四章单元测试
1、由1/13=0.076923076923...可知10的如下哪个幂除以13的余数是1?
A.5次幂
B.7次幂
C.4次幂
D.6次幂
正确答案:6次幂
2、加密方法:将英文原文中每个字母在字母表中往前移4位作为加密后的字母。如果密文很长,则如下哪个字母在密文中出现得最多:
A.A
B.D
C.B
D.C
正确答案:A
3、整数10的如下哪一个幂被21除的余数是1:
A.12次幂
B.10次幂
C.13次幂
D.11次幂
正确答案:12次幂
4、将1到9这九个正整数按适当顺序填入3行3列的方格表,使每行每列每条对角线上三个数之和相等,就称为三阶幻方.如果将其中的奇数全部换成1,偶数全部换成0, 得到的表有可能是如下哪一个:

A.A
B.B
C.D
D.C
正确答案:D
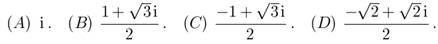
5、如下4个复数哪一个是1的立方根?

A.A
B.D
C.B
D.C
正确答案:C
6、x^{15}-1的如下5个因式,哪两个的最大公因式不是常数:(1) x-1.(2) x^2+x+1.(3)x^4+x^3+x^2+x+1.(4) x^{10}+x^5+1;(5) x^{12}+x^9+x^6+x^3+1.
A.(4)、(5)
B.(2)、(3)
C.(1)、(2)
D.(3)、(4)
正确答案:(4)、(5)