智慧树知到《经济博弈论(山东联盟)》章节测试答案
C.

D.

正确答案:

10、中、日两国对东海主权存在争议。设想中国石油与日本石油这两家石油公司同时决定是否开发东海油气资源,双方在各种情况下的收益(单位:亿元)如下表所示。该博弈的纯策略纳什均衡为

A.(开发,不开发)
B.(不开发,开发)
C.(开发,开发)
D.(不开发,不开发)
正确答案:(开发,不开发);(不开发,开发)
第三章单元测试
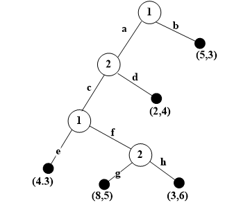
1、设一四阶段两博弈方之间的动态博弈如下图所示,子博弈完美纳什均衡策略组合双方的收益是

A.(5,2)
B.(5,3)
C.(4,2)
D.(4,3)
正确答案:(5,3)
2、

A.

B.

C.

D.

正确答案:

3、

A.

B.

C.

D.

正确答案:

4、

A.

B.

C.

D.

正确答案:

Tag:智慧树经济博弈论章节测试 知到经济博弈论章节测试
时间:2023-12-06 20:17:16