智慧树知到《计量经济学(南开大学)》章节测试答案
C.斜率不可能为正和负
D.是使预测误差的平方和最小的回归线
正确答案:是使预测误差的平方和最小的回归线
10、多元回归方程的OLS残差
A.不可被计算,因为有不止一个解释变量
B.可以通过真实值减去拟合值求得
C.为零,因为估计值就是预测值
D.与总体回归方程误差值完全相等
正确答案:可以通过真实值减去拟合值求得
第四章单元测试
1、残差是样本的随机误差项。
A.正确
B.错误
正确答案:A
2、下列两个模型yi=β0+β1xi+ui与lnyi=β0+β1xi+ui都属于本质线性回归模型,回归系数β1的经济含义是相同的。
A.正确
B.错误
正确答案:B
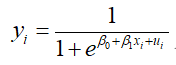
3、

是一个本质非线性的回归模型。
A.正确
B.错误
正确答案:B
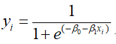
4、

是本质线性回归方程,可以把它们转化为线性回归方程ln[(1- yi)/yi)=-β0-β1xi。
A.正确
B.错误
正确答案:A
5、对数函数模型yi=β0+β1Lnxi+ui中β1的经济含义是,当其他变量保持不变时,平均而言X增长1个单位时,引起Y增加β1%。
A.正确
B.错误
正确答案:B
6、微观经济学中的边际成本和平均成本曲线都是二次多项式函数模型,呈U型形式,这是由边际收益递减决定的。
A.正确
B.错误
正确答案:A
7、假设采用同一样本数据估计如下回归模型,那么模型
yi=β0+β1x1i+β2x2i+εi可以与下列哪些模型之间的R2进行比较()
A.lnyi= β0+β1lnx1i+β2lnx2i+εi
B.yi= β0+β1x1i+β2x2i+β3x1i2+εi
C.
lnyi= β0+β1lnx1i+β2lnx2i2+εi
D.yi= β0+β1x1i+β2lnx2i+εi
E.
yi= β1x1i+β2x2i+εi
正确答案:yi= β0+β1x1i+β2x2i+β3x1i2+εi;yi= β0+β1x1i+β2lnx2i+εi;
yi= β1x1i+β2x2i+εi
8、下列非线性回归模型中,哪些模型不可以进行线性化()
A.

B.

C.

D.

正确答案:

;

- 上一篇:智慧树知到《计量经济学》章节测试答案
- 下一篇:智慧树知到《计算方法》章节测试答案