智慧树知到《高等代数(山东理工大学)》章节测试答案
A.正确
B.错误
正确答案:正确
第二章单元测试
1、

A.3
B.2
C.-3
D.-2
正确答案:3
2、

A.(13,-5)
B.(-13,-5)
C.(13,5)
D.(-13,5)
正确答案:(13,-5)
3、

A.24
B.-72
C.8
D.-24
正确答案:-24
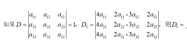
4、

5、下列n阶行列式值(n2)必为0的是
A.行列式中等于0的元素多于n个
B.上下三角形行列式主对角线上有一个元素是0
C.主对角线元素皆为0
D.行列式中不等于0的元素少于n个
正确答案:上下三角形行列式主对角线上有一个元素是0;行列式中不等于0的元素少于n个
6、一个n阶行列式值不为0,则行列式中不为0的元素至少应有()个.
A.n²
B.n(n-1)
C.(n-1)²
D.n
正确答案:n
7、单选题:下列构成六阶行列式展开式各项中,取“+”的有()
A.

B.

C.

D.

正确答案:

8、

A.1
B.-1
C.4
D.-4
正确答案:-4
9、

A.

B.1
C.

D.

正确答案:

10、下列n阶行列式D不为0的充分条件是()
A.D中所有元素都不为0
B.D中非零行的各元素与其代数余子式值都相等
C.D中至少有n个元素不为0
D.D中任意两行不成比例
正确答案:D中非零行的各元素与其代数余子式值都相等
第三章单元测试
1、

Tag:智慧树高等代数章节测试 知到高等代数章节测试
时间:2023-12-03 22:30:42