智慧树知到《概率论》章节测试答案



3、设随机变量X服从参数为

智慧树知到《概率论》章节测试答案

的泊松分布,则

智慧树知到《概率论》章节测试答案

的值为()。

A.

智慧树知到《概率论》章节测试答案

B.

智慧树知到《概率论》章节测试答案

C.

智慧树知到《概率论》章节测试答案

D.

智慧树知到《概率论》章节测试答案

正确答案:

智慧树知到《概率论》章节测试答案

4、设随机变量X的概率密度函数为

智慧树知到《概率论》章节测试答案

,则常数

智慧树知到《概率论》章节测试答案

()。

A.

智慧树知到《概率论》章节测试答案

B.2

C.5

D.

智慧树知到《概率论》章节测试答案

正确答案:5

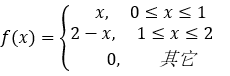
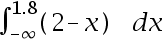
5、如果随机变量X的密度函数为

智慧树知到《概率论》章节测试答案

,则

智慧树知到《概率论》章节测试答案

()。

A.

智慧树知到《概率论》章节测试答案

B.0.875

C.

智慧树知到《概率论》章节测试答案

D.

智慧树知到《概率论》章节测试答案

正确答案:

智慧树知到《概率论》章节测试答案

6、

智慧树知到《概率论》章节测试答案

A.对任意实数

智慧树知到《概率论》章节测试答案

,有

智慧树知到《概率论》章节测试答案

B.只对部分实数

智慧树知到《概率论》章节测试答案

,有

智慧树知到《概率论》章节测试答案

C.对任意实数

智慧树知到《概率论》章节测试答案

,有

智慧树知到《概率论》章节测试答案

D.对任意实数

智慧树知到《概率论》章节测试答案

,有

智慧树知到《概率论》章节测试答案


Tag:智慧树概率论章节测试 知到概率论章节测试 时间:2023-12-03 21:57:54