智慧树知到《地震资料数据处理》章节测试答案
智慧树知到《地震资料数据处理》章节测试答案
绪论单元测试
1、地震勘探的三个环节指地震数据的(),(),()。
A.采集
B.处理
C.反演
D.解释
正确答案:采集;处理;解释
2、地震数据处理的“三高”处理指的是提高地震数据的(),(),()。
A.信噪比
B.准确度
C.分辨率
D.保真度
正确答案:信噪比;分辨率;保真度
第一章单元测试
1、正常时差的概念指由于炮检距引起的非零炮检距与零炮检距的反射时间()。
A.之和
B.之差
C.之积
D.对数之差
正确答案:之差
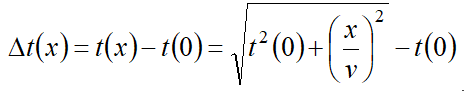
2、在单个水平界面的共中心点道集中,描述不同炮检距X的地震反射时间公式中,正常时差表示为

,其中x指的是()。
A.旅行时
B.X分量
C.方位角
D.炮检距
正确答案:炮检距
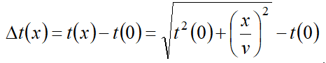
3、从动校正时差计算公式

可以看出:在t0和X一定的情况下,动校正量随速度的增加而()。
A.不变
B.增加
C.减小
D.无法判断
正确答案:减小
4、从速度变化来分析速度对动校正的影响。如图:

最左边是一个共中心点道集,如果速度准确,由动校正时差进行校正可以拉平同相轴,但如果速度(),则校正过量(同相轴上抛)。
A.偏大
B.偏小
C.不变
D.无穷
正确答案:偏小
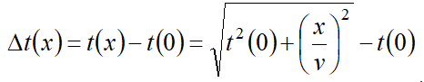
5、根据理论公式

进行数字动校正时,计算的理论轨迹可能不在 采样点上。
A.零
B.整数
C.最大
D.最小
正确答案:整数
6、由于地震记录上的子波由若干离散点组成,在动校正过程中,各个离散点动校正量不同,动校正之后,()。
A.子波保持原来的形态,子波形态不发生变化
B.子波将不再保持原来的形态,子波形态发生相对畸变
C.子波将恢复原来的形态,子波形态不发生变化
D.子波将不再保持原来的形态,子波发生反转
正确答案:子波将不再保持原来的形态,子波形态发生相对畸变
7、用一次反射波的动校速度进行动校正,多次波叠加后与一次波相比,信号没有增强,是因为多次波()。
A.速度高、动校不足,同相轴下拉
B.速度高、动校过量,同相轴上抛
C.速度低、动校不足,同相轴下拉
D.速度低、动校过量,同相轴上抛
正确答案:速度低、动校不足,同相轴下拉
8、如图,设炮检距SG为x,则S’A=()。

9、存在剩余时差的多次波叠加后频谱与无剩余时差地震信号频谱相差一个求和因子K(ω),称为叠加特征函数,为()。