智慧树知到《传热学(哈尔滨工程大学)》章节测试答案
第二章单元测试
1、温度场中相同温度各点连成的面称为等温面。
A.正确
B.错误
正确答案:错误
2、导热系数的单位是W/(m﹒K)。
A.正确
B.错误
正确答案:正确
3、热流密度是标量。
A.正确
B.错误
正确答案:错误
4、在引力场下单纯的导热只发生在密实固体中。
A.正确
B.错误
正确答案:正确
5、在传热学中,第二类边界条件(Neumann条件)就是定热流边界条件。
A.正确
B.错误
正确答案:错误
6、在导热的第三类边界条件

是已知的。
A.正确
B.错误
正确答案:错误
7、任何情形下,加肋总是有利的。
A.正确
B.错误
正确答案:错误
8、在其他条件相同的情况下,下列物质()的导热能力最差。
A.合金钢
B.空气
C.水
D.油
正确答案:空气
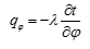
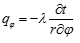
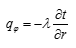
9、在圆柱坐标系下,有关热流密度在

坐标轴上的分量表达式正确的是()。
A.

B.

C.

D.

正确答案:

10、下面的式子哪一个是描述直角坐标系下常物性稳态的导热微分方程()。
A.

B.

C.

D.

正确答案:

11、下面的式子哪一个是描述非稳态导热的第二类边界条件()。
A.

B.

C.

D.

正确答案:

Tag:智慧树传热学章节测试 知到传热学章节测试
时间:2023-11-30 16:38:52