智慧树知到《常微分方程》章节测试答案
6、

。
A.正确
B.错误
正确答案:正确
7、

。
A.正确
B.错误
正确答案:正确
8、

。
A.正确
B.错误
正确答案:正确
9、

。
A.正确
B.错误
正确答案:错误
10、

。
A.正确
B.错误
正确答案:正确
第五章单元测试
1、矩阵乘积的导数等于矩阵导数的乘积。
A.正确
B.错误
正确答案:错误
2、非齐线性微分方程组解的线性组合也是它的解。
A.正确
B.错误
正确答案:错误
3、一个解矩阵是基解矩阵的充要条件是解矩阵的行列式不为0。
A.正确
B.错误
正确答案:正确
4、若向量函数在区间上线性相关,则它们的朗斯基行列式不为0。
A.正确
B.错误
正确答案:错误
5、非齐次线性方程组的任意两个解的和为对应齐次线性方程组的解。
A.正确
B.错误
正确答案:错误
6、非齐次线性方程组的任意两个解的差为对应齐次线性方程组的解。
A.正确
B.错误
正确答案:正确
7、

。
A.正确
B.错误
正确答案:正确
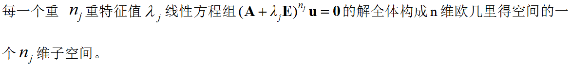
8、

。
A.正确
B.错误
正确答案:正确
9、

。
A.正确
B.错误
正确答案:错误
10、

。
A.正确
B.错误
正确答案:正确
第六章单元测试
1、

。
A.正确
B.错误
正确答案:正确
2、两种群间的关系有相互竞争,相互依存,弱肉强食。
A.正确
B.错误
正确答案:正确
3、

。
A.正确
B.错误
正确答案:正确
4、Volterra模型的平凡奇点是 x=0,y=0。
A.正确
B.错误
正确答案:正确
5、

Tag:智慧树常微分方程章节测试 知到常微分方程章节测试
时间:2023-11-30 15:18:44